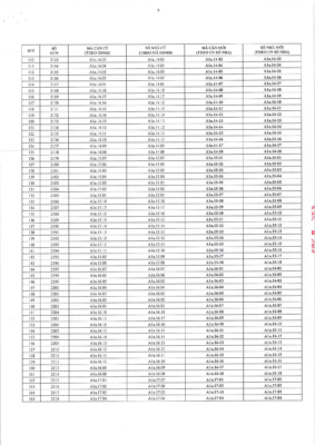
Tập đoàn Bcons thông báo chính thức về việc điều chỉnh mã căn hộ tại các tòa tháp thuộc dự án Bcons City. Đây là thông tin quan trọng giúp khách hàng và đối tác cập nhật chính xác về thay đổi trong hệ thống quản lý bất động sản.

Phạm vi điều chỉnh mã căn hộ
Việc điều chỉnh được áp dụng với 3 tòa tháp chính trong dự án: Tháp Green Emerald, Tháp Green Sapphire và Tháp Bcons City. Thông tin này nhằm chuẩn hóa hệ thống mã định danh cho toàn bộ dự án.

Tầm quan trọng của việc cập nhật mã căn hộ
Các dự án khác của Tập đoàn Bcons như Bcons Avenue, Bcons Newsky và Bcons Solary đều được quản lý với hệ thống mã chuẩn hóa. Việc điều chỉnh tại Bcons City giúp đồng bộ hệ thống quản lý trên toàn hệ thống.

Các chủ đầu tư của các dự án như Bcons Center City và Bcons Polaris cũng có những cập nhật tương tự trong hệ thống quản lý căn hộ. Thông báo này đảm bảo tính minh bạch trong giao dịch và quản lý sau bàn giao.

Thời gian hiệu lực thay đổi
Các văn bản chính thức về điều chỉnh đã được công bố. Khách hàng và đối tác cần ghi nhận thay đổi này cho các giao dịch và thủ tục pháp lý liên quan đến căn hộ tại các tòa tháp được đề cập.

Tập đoàn Bcons luôn duy trì sự chuyên nghiệp trong quản lý dự án. Những điều chỉnh như thế này phản ánh cam kết về tính chính xác và minh bạch trong toàn bộ hệ thống.