Tập đoàn Bcons vừa chính thức công bố thông báo về việc điều chỉnh mã căn hộ tại dự án chung cư Lê Trọng Tấn. Thông báo này cung cấp các thông tin quan trọng liên quan đến mã số nhận diện các căn hộ trong dự án.
Thông Tin Về Thông Báo Điều Chỉnh Mã Căn Hộ
Thông báo chính thức về việc điều chỉnh mã căn hộ đã được Tập đoàn Bcons phát hành, thể hiện sự minh bạch trong quản lý và vận hành dự án bất động sản. Văn bản này nhằm đảm bảo tính nhất quán và chính xác trong hệ thống quản lý thông tin căn hộ.


Tầm Quan Trọng Của Việc Điều Chỉnh Mã Căn Hộ
Việc điều chỉnh mã căn hộ tại các dự án bất động sản là thủ tục quan trọng nhằm chuẩn hóa hệ thống quản lý, tạo thuận lợi cho công tác quản lý vận hành tòa nhà và phục vụ cư dân sau này. Đây là quy trình chuyên nghiệp mà Bcons Center City và các dự án khác của Tập đoàn Bcons đều thực hiện.



Chính Sách Minh Bạch Thông Tin Của Tập Đoàn Bcons
Công bố thông tin minh bạch là một trong những nguyên tắc hoạt động của Tập đoàn Bcons. Tương tự như các dự án Bcons Polaris hay Bcons Avenue, việc công khai thông báo điều chỉnh mã căn hộ thể hiện cam kết của chủ đầu tư trong việc cung cấp thông tin đầy đủ cho khách hàng và cư dân.



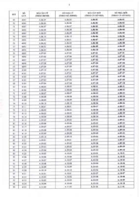
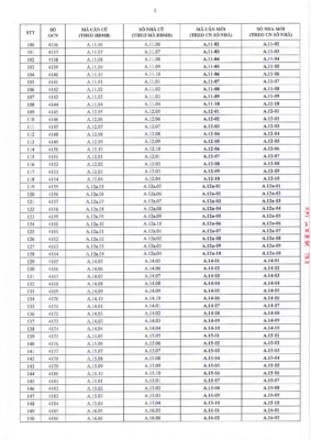
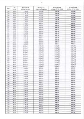
Toàn Bộ Tài Liệu Thông Báo Chính Thức
Dưới đây là toàn bộ tài liệu thông báo chính thức về việc điều chỉnh mã căn hộ tại dự án chung cư Lê Trọng Tấn do Tập đoàn Bcons phát hành. Các tài liệu này cung cấp thông tin đầy đủ và chính xác về sự thay đổi trong hệ thống mã số căn hộ của dự án.





Cư dân và khách hàng quan tâm đến dự án chung cư Lê Trọng Tấn có thể tham khảo toàn bộ thông báo chính thức này để nắm được thông tin về việc điều chỉnh mã căn hộ. Tập đoàn Bcons tiếp tục duy trì tiêu chuẩn minh bạch thông tin trong tất cả các dự án của mình, tương tự như Bcons Newsky và Bcons Solary.